ポアソン括弧(ぽあそんかっこ、英: Poisson Bracket)とは、ハミルトン形式の解析力学における重要概念の一つ。ポアソン括弧の名はフランスの物理学者シメオン・ドニ・ポアソンに因む。ポアソンは1809年の力学に関する論文の中でポアソン括弧を導入した。
定義
ハミルトニアン形式の力学において、物体の運動は一般化座標 q=(q1,..,qn)と一般化運動量 p=(p1,..,pn)の組からなる正準変数で記述される。正準変数を(q, p)とする相空間において、f(q, p), g(q, p) を可微分な実数値関数とする。f, g のポアソン括弧とは、関数
の事である。{f, g}が (q, p) の関数である事を明記して{f, g}(q, p)、または添え字の表記で{f, g}q, pとも書く。
またベクトル表記を用れば、
とも書き表せる。
ハミルトニアンを H=H(q, p, t)とすると、運動方程式による正準変数の時間発展 (q(t), p(t))はハミルトンの正準方程式
で与えられる。但し、ドット記号は時間tについての微分を表す。一般に正準方程式の解 (q(t), p(t))と時間tに依存する関数 F=F(q(t), p(t), t)の時間変化は
とハミルトニアン Hとのポアソン括弧{F,H}で表現できる。
関数 F=F(q, p, t)に対し、
は Fの運動方程式であり、特に正準変数についての正準方程式は
とポアソン括弧で表せる。
数学的性質
性質
相空間上の二階微分可能な任意の実数値関数 f, g, h と実数λ, μに対し、ポアソン括弧は以下の性質を満たす:
- 双線形性
ポアソン括弧は双線形である。すなわち{ , }は第一成分、第二成分の双方に対して線形である。
- 歪対称性
ポアソン括弧は歪対称性を満たす。
歪対称性から
が成り立つ。
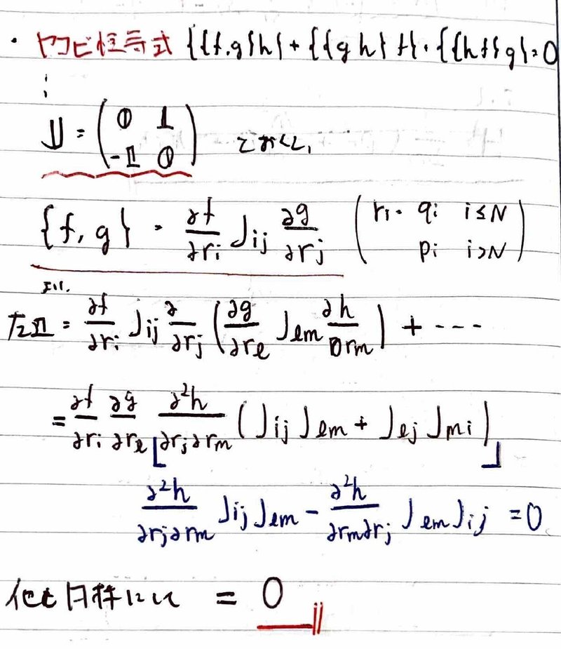
- ヤコビの恒等式
ポアソン括弧はヤコビの恒等式を満たす。
- ライプニッツ・ルール
ポアソン括弧はライプニッツ・ルールを満たす。
これらの性質から相空間における滑らかな関数のなす集合はポアソン括弧で積演算を定めるとリー代数となる。
時間による全微分
ポアソン括弧の時間による全微分は次式を満たす。
この関係式とヤコビの恒等式からポアソンの定理と呼ばれる次の性質が成り立つ。
相空間上の時間に陽に依存しない力学量F=F(q(t), p(t))が時間に対して不変であるとき、F は保存量、または第一積分であるという。
ポアソンの定理より、相空間における第一積分のなす集合は滑らかな関数のなすリー代数の部分リー代数になる。
基本ポアソン括弧
正準変数 q, p に対して、正準変数同士のポアソン括弧を基本ポアソン括弧という。基本ポアソン括弧は次のようになる。
、
ここで δij は
で与えられるクロネッカーのデルタである。また、次の関係式が成り立つ。
ポアソン括弧と保存量
ポアソン括弧は運動の保存量を見つける為に役立つ。実際 H を時間不変なハミルトニアンとし、(q(t),p(t)) を H に関する正準方程式の解とし、f を(時刻に依存しない)可微分な任意の関数とすれば、
であるので、 {f, H} が0なら f(q(t),p(t)) は時刻 t によらず不変である。(上で(1)は正準方程式から従う。)
また f, g を {f, H}, {g, H}が恒等的に0になる関数とすれば、
よって {f,g}(q(t),p(t)) も時刻 t によらず不変である。(上で(2)ヤコビの恒等式、(3)は歪対称性と仮定から従う。)
f, g が運動の保存量である事が分かれば、物体は f = const., g = const. を満たす相空間の部分集合上で運動する事が分かる。特に保存量が 2n−1 個見つかれば、物体が運動する場所が1次元空間に限定されるので、物体の軌道が完全に決定できる。多くの系において正準方程式を実際に解いて運動を決定するのは非常に困難である為、ポアソン括弧を使って保存量を見つけて運動の範囲を特定するのはハミルトン力学において重要な手法となる。
シンプレクティック形式による定義
ポアソン括弧の前述した定義は正準座標 (q,p) に依存しているが、シンプレクティック形式 ω を使えば座標に依存しない定義を以下のようにして得られる。(よって特に、ポアソン括弧をシンプレクティック多様体上で定義できる。)
関数 f に対し、を
- ...(4)
を満たす接ベクトルとするとき、ポアソン括弧 {f,g} は
により定義される。ここで d は外微分である。なお(4)を満たす の存在は、シンプレクティック形式が非退化である事と外積代数の一般論から従う。この定義によるポアソン括弧が前述の定義によるそれと一致する事は、シンプレクティック形式をダルブー座標で直接書き表して見る事で簡単に証明できる。
また外積代数の一般論から、ポアソン括弧は以下のようにも書き表す事ができる事が示せる:
- ...(5)
リー括弧との関係
ポアソン括弧とリー括弧
は以下の関係を満たす:
証明
h を二回微分可能な任意の関数とするとき、(5)より
同様に
よってヤコビの恒等式と(5)より、
h の任意性よりが証明された。
脚注
出典
参考文献
論文
- Poisson, Siméon-Denis (1809). “Mémoire sur la variation des constantes arbitraires dans les questions de Mécanique”. Journal de l'École polytechnique, 15e cahier 8: 266-344. https://math.huji.ac.il/~piz/documents-others/SDP-1809.pdf.
- Marle, Charles-Michel (2009). “The Inception of Symplectic Geometry: the Works of Lagrange and Poisson During the Years 1808-1810”. Letters in Mathematical Physics 90: 3-21. arXiv:arXiv:0902.0685. doi:10.1007/s11005-009-0347-y.
書籍
- 並木美喜雄『解析力学』丸善出版〈パリティ物理学コース〉、1991年。ISBN 978-4621036372。
- 伊藤秀一『常微分方程式と解析力学』共立出版〈共立講座 21世紀の数学〉、1998年。ISBN 978-4320015630。
- 畑浩之、植松恒夫 (編集)、青山秀明 (編集)、益川敏英 (監修)『解析力学』東京図書〈基幹講座 物理学〉、2014年。ISBN 978-4489021688。
- 山本義隆、中村孔一『解析力学I』朝倉書店〈朝倉物理学大系〉、1998年。ISBN 978-4254136715。
- 山本義隆、中村孔一『解析力学II』朝倉書店〈朝倉物理学大系〉、1998年。ISBN 978-4254136722。
関連項目
- 解析力学 - ハミルトン力学
- 量子力学 - 正準量子化
- シメオン・ドニ・ポアソン
- ラグランジュ括弧




